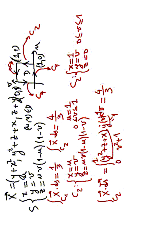
Clase 30 Pizarrón 5  Formato pizarra para ver con fondo oscuro, click aquí 

    5 de 6