Clase 32  Pizarrón 2  Formato cuaderno para imprimir con fondo blanco, click aquí 

Formato pizarra para ver con fondo claro, click aquí

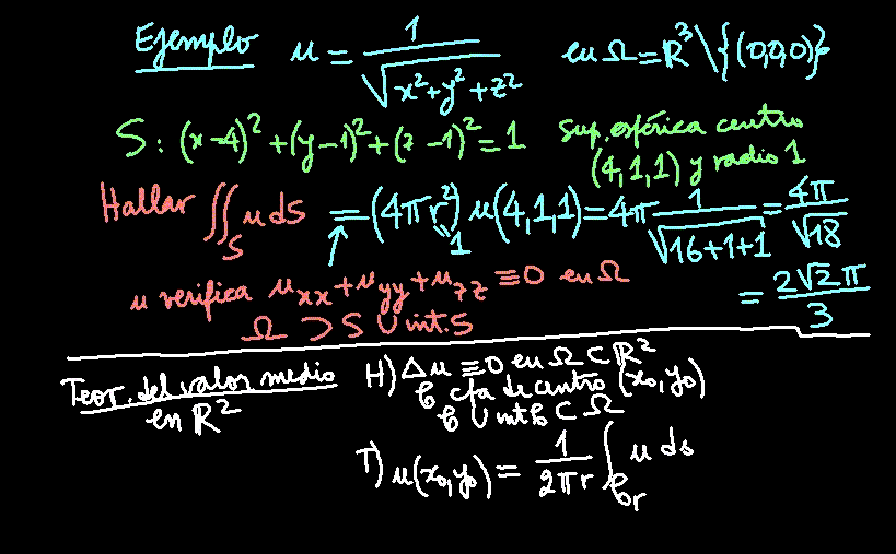
    2 de 7
 

Pizarrón anterior            Página de clase          Pizarrón siguiente